TL;DR
Deep learning models exhibit excellent performance but require high computational resources.
Optimization techniques like pruning, quantization, and knowledge distillation are vital for improving computational efficiency:
-
- Pruning reduces model size by removing less important neurons, involving identification, elimination, and optional fine-tuning.
- Quantization decreases memory usage and computation time by using lower numeric precision for model weights.
- Knowledge distillation transfers insights from a complex “teacher” model to a simpler “student” model, maintaining performance with less computational demand.
Choosing the right optimization depends on model type, deployment environment, and performance goals.
Potential drawbacks include performance loss and additional computational costs.
Deep learning models continue to dominate the machine-learning landscape. Whether it’s the original fully connected neural networks, recurrent or convolutional architectures, or the transformer behemoths of the early 2020s, their performance across tasks is unparalleled.
However, these capabilities come at the expense of vast computational resources. Training and operating the deep learning models is expensive and time-consuming and has a significant impact on the environment.
Against this backdrop, model-optimization techniques such as pruning, quantization, and knowledge distillation are essential to refine and simplify deep neural networks, making them more computationally efficient without compromising their deep learning applications and capabilities.
In this article, I’ll review these fundamental optimization techniques and show you when and how you can apply them in your projects.
What is model optimization?
Deep learning models are neural networks (NNs) comprising potentially hundreds of interconnected layers, each containing thousands of neurons. The connections between neurons are weighted, with each weight signifying the strength of influence between neurons.
This architecture based on simple mathematical operations proves powerful for pattern recognition and decision-making. While they can be computed efficiently, particularly on specialized hardware such as GPUs and TPUs, due to their sheer size, deep learning models are computationally intensive and resource-demanding.
As the number of layers and neurons of deep learning models increases, so does the demand for approaches that can streamline their execution on platforms ranging from high-end servers to resource-limited edge devices.
Model-optimization techniques aim to reduce computational load and memory usage while preserving (or even enhancing) the model’s task performance.
Optimization in deep learning
Have a look at other articles on our blog exploring aspects of optimization in deep learning:
- Best Tools for Model Tuning and Hyperparameter Optimization: Systematically tuning the hyperparameters of a machine learning model to improve its performance is a crucial step in any machine learning workflow.
- How to Optimize GPU Usage During Model Training with neptune.ai: Since GPUs are expensive resources, it is paramount to utilize them to their fullest degree. Metrics like GPU usage, memory utilization, and power consumption provide insight into resource utilization and potential for improvement.
- Deep Learning Optimization Algorithms: Training deep learning models means solving an optimization problem: The model is incrementally adapted to minimize an objective function. A range of optimizers are used in deep learning, each addressing a particular shortcoming of the basic gradient descent approach.
Pruning: simplifying models by reducing redundancy
Pruning is an optimization technique that simplifies neural networks by reducing redundancy without significantly impacting task performance.

Pruning is based on the observation that not all neurons contribute equally to the output of a neural network. Identifying and removing the less important neurons can substantially reduce the model’s size and complexity without negatively impacting its predictive power.
The pruning process involves three key phases: identification, elimination, and fine-tuning.
- Identification: Analytical review of the neural network to pinpoint weights and neurons with minimal impact on model performance.
In a neural network, connections between neurons are parametrized by weights, which capture the connection strength. Methods like sensitivity analysis reveal how weight alterations influence a model’s output. Metrics such as weight magnitude measure the significance of each neuron and weight, allowing us to identify weights and neurons that can be removed with little effect on the network’s functionality. - Elimination: Based on the identification phase, specific weights or neurons are removed from the model. This strategy systematically reduces network complexity, focusing on maintaining all but the essential computational pathways.
- Fine-tuning: This optional yet often beneficial phase follows the targeted removal of neurons and weights. It involves retraining the model’s reduced architecture to restore or enhance its task performance. If the reduced model satisfies the required performance criteria, you can bypass this step in the pruning process.

Model-pruning methods
There are two main strategies for the identification and elimination phases:
- Structured pruning: Removing entire groups of weights, such as channels or layers, resulting in a leaner architecture that can be processed more efficiently by conventional hardware like CPUs and GPUs. Removing entire sub-components from a model’s architecture can significantly decrease its task performance because it may strip away complex, learned patterns within the network.
- Unstructured pruning: Targeting individual, less impactful weights across the neural network, leading to a sparse connectivity pattern, i.e., a network with many zero-value connections. The sparsity reduces the memory footprint but often doesn’t lead to speed improvements on standard hardware like CPUs and GPUs, which are optimized for densely connected networks.
Quantization: reducing the memory footprint by lowering computational precision
Quantization, aims to lower memory needs and improve computing efficiency by representing weights with less precision.
Typically, 32-bit floating-point numbers are used to represent a weight (so-called single-precision floating-point format). Reducing this to 16, 8, or even fewer bits and using integers instead of floating-point numbers can reduce the memory footprint of a model significantly. Processing and moving around less data also reduces the demand for memory bandwidth, a critical factor in many computing environments. Further, computations that scale with the number of bits become faster, improving the processing speed.
Quantization techniques
Quantization techniques can be broadly categorized into two categories:
- Post-training quantization (PTQ) approaches are applied after a model is fully trained. Its high-precision weights are converted to lower-bit formats without retraining.
PTQ methods are appealing for quickly deploying models, particularly on resource-limited devices. However, accuracy might decrease, and the simplification to lower-bit representations can accumulate approximation errors, particularly impactful in complex tasks like detailed image recognition or nuanced language processing.
A critical component of post-training quantization is the use of calibration data, which plays a significant role in optimizing the quantization scheme for the model. Calibration data is essentially a representative subset of the entire dataset that the model will infer upon.
It serves two purposes:- Determination of quantization parameters: Calibration data helps determine the appropriate quantization parameters for the model’s weights and activations. By processing a representative subset of the data through the quantized model, it’s possible to observe the distribution of values and select scale factors and zero points that minimize the quantization error.
- Mitigation of approximation errors: Post-training quantization involves reducing the precision of the model’s weights, which inevitably introduces approximation errors. Calibration data enables the estimation of these errors’ impact on the model’s output. By evaluating the model’s performance on the calibration dataset, one can adjust the quantization parameters to mitigate these errors, thus preserving the model’s accuracy as much as possible.
- Quantization-aware training (QAT) integrates the quantization process into the model’s training phase, effectively acclimatizing the model to operate under lower precision constraints. By imposing the quantization constraints during training, quantization-aware training minimizes the impact of reduced bit representation by allowing the model to learn to compensate for potential approximation errors. Additionally, quantization-aware training enables fine-tuning the quantization process for specific layers or components.
The result is a quantized model that is inherently more robust and better suited for deployment on resource-constrained devices without the significant accuracy trade-offs typically seen with post-training quantization methods.

Distillation: compacting models by transferring knowledge
Knowledge distillation is an optimization technique designed to transfer knowledge from a larger, more complex model (the “teacher”) to a smaller, computationally more efficient one (the “student”).
The approach is based on the idea that even though a complex, large model might be required to learn patterns in the data, a smaller model can encode the same relationship and reach a similar task performance.
This technique is most popular with classification (binary or multi-class) models with softmax activation in the output layer. In the following, we will focus on this application, although knowledge distillation can be applied to related models and tasks as well.
The principles of knowledge distillation
Knowledge distillation is based on two key concepts:
- Teacher-student architecture: The teacher model is a high-capacity network with strong performance on the target task. The student model is smaller and computationally more efficient.
- Distillation loss: The student model is trained not just to replicate the output of the teacher model but to match the output distributions produced by the teacher model. (Typically, knowledge distillation is used for models with softmax output activation.) This allows it to learn the relationships between data samples and labels by the teacher, namely – in the case of classification tasks – the location and orientation of the decision boundaries.


Implementing knowledge distillation
The implementation of knowledge distillation involves several methodological choices, each affecting the efficiency and effectiveness of the distilled model:
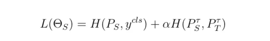
- Distillation loss: A loss function that effectively balances the objectives of reproducing the teacher’s outputs and achieving high performance on the original task. Commonly, a weighted combination of cross-entropy loss (for accuracy) and a distillation loss (for similarity to the teacher) is used:

Intuitively, we want to teach the student how the teacher “thinks,” which includes the (un)certainty of its output. If, for example, the teacher’s final output probabilities are [0.53, 0.47] for a binary classification problem, we want the student to be equally uncertain. The difference between the teacher’s and the student’s predictions is the distillation loss.
To gain some control over the loss, we can use a parameter to effectively balance the two loss functions: the alpha parameter, which controls the weight of the distillation loss relative to the cross-entropy. An alpha of 0 means only the cross-entropy loss will be considered.
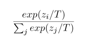
- Temperature scaling: Adjusting the temperature parameter in the softmax function of both teacher and student models to produce softer probability distributions.
The temperature parameter T scales the softmax function:


Bar graphs illustrating the effect of temperature scaling on softmax probabilities: In the left panel, the temperature is set to T=1.0, resulting in a distribution of probabilities where the highest score of 3.0 dominates all other scores. In the right panel, the temperature is set to T=10.0, resulting in a softened probability distribution where the scores are more evenly distributed, although the score of 3.0 maintains the highest probability. This illustrates how temperature scaling moderates the softmax function’s confidence across the range of possible scores, creating a more balanced distribution of probabilities.
The “softening” of these outputs through temperature scaling allows for a more detailed transfer of information about the model’s confidence and decision-making process across various classes.
- Model architecture compatibility: The effectiveness of knowledge distillation depends on how well the student model can learn from the teacher model, which is greatly influenced by their architectural compatibility. Just as a deep, complex teacher model excels in its tasks, the student model must have an architecture capable of absorbing the distilled knowledge without replicating the teacher’s complexity. This might involve experimenting with the student model’s depth or adding or modifying layers to capture the teacher’s insights better. The goal is to find an architecture for the student that is both efficient and capable of mimicking the teacher’s performance as closely as possible.
- Transferring intermediate representations, also referred to as feature-based knowledge distillation: Instead of working with just the models’ outputs, align intermediate feature representations or attention maps between the teacher and student models. This requires a compatible architecture but can greatly improve knowledge transfer as the student model learns to, e.g., use the same features that the teacher. learned.

Comparison of deep learning model optimization methods
This table summarizes each optimization method’s pros and cons:
|
Technique
|
Pros
|
Cons
|
When to use
|
|
Pruning |
Reduces model size and complexityImproves inference speedLowers energy consumption |
Potential task performance lossCan require iterative fine-tuning to maintain task performance |
Best for extreme size and operation reduction in tight resource scenarios.Ideal for devices where minimal model size is crucial |
|
Quantization |
Significantly reduces the model’s memory footprint while maintaining its full complexityAccelerates computationEnhances deployment flexibility |
Possible degradation in task performanceOptimal performance may necessitate specific hardware acceleration support |
Suitable for a wide range of hardware, though optimizations are best on compatible systemsBalancing model size and speed improvementsDeploying over networks with bandwidth constraints |
|
Knowledge distillation |
Maintains accuracy while compressing modelsBoosts smaller models’ generalization from larger teacher modelsSupports versatile and efficient model designs. |
Two models have to be trainedChallenges in identifying optimal teacher-student model pairs for knowledge transfer |
Preserving accuracy with compact models |
Conclusion
Optimizing deep learning models through pruning, quantization, and knowledge distillation is essential for improving their computational efficiency and reducing their environmental impact.
Each technique addresses specific challenges: pruning reduces complexity, quantization minimizes the memory footprint and increases speed, and knowledge distillation transfers insights to simpler models. Which technique is optimal depends on the type of model, its deployment environment, and the performance goals.